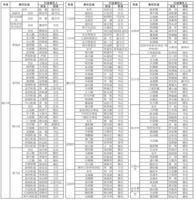
海南省各市、县(区)、乡镇(街道)防汛防风防旱行政责任人名单
2022年05月12日
易信
QQ空间
豆瓣
新浪微博
上一篇
下一篇