海南日报报业集团旗下媒体: 海南日报 |南国都市报 |南海网 |南岛晚报 |证券导报 |法制时报 |海南农垦报 返回首页
2019年10月10日 星期四  报料热线:966123
当前版: 020版 上一版 下一版 上一期 下一期
上一篇    下一篇
放大 缩小 默认   
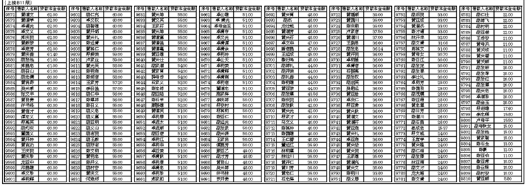
中国农业银行股份有限公司陵水县支行债权催收公告
上一篇    下一篇
   第001版:头版
   第002版:本省新闻时政
   第003版:本省新闻综合
   第004版:本省新闻综合
   第005版:壮丽70年 奋斗新时代
   第006版:专题
   第007版:本省新闻综合
   第008版:健康周刊
   第009版:中国/世界新闻
   第010版:广告
   第011版:广告
   第012版:广告
   第013版:广告
   第014版:广告
   第015版:广告
   第016版:广告
   第017版:广告
   第018版:广告
   第019版:广告
   第020版:广告
中国农业银行股份有限公司陵水县支行债权催收公告
海口市国有建设用地使用权挂牌出让公告
海口市国有建设用地使用权挂牌出让公告