海南日报报业集团旗下媒体: 海南日报 | 南国都市报 | 南海网 | 南岛晚报 | 证券导报 | 法制时报 返回报网首页 | 版面导航
2017年07月18日 星期二      报料热线:966123
当前版: 007版 上一版 下一版 上一期 下一期
上一篇    下一篇
放大 缩小 默认   
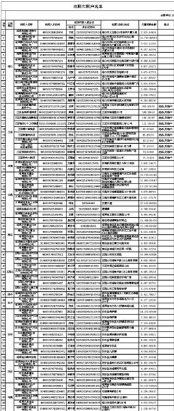
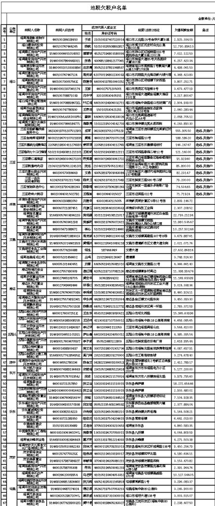
海南省国家税务局和海南省地方税务局
联合发布欠税公告向逾期仍未缴税的纳税人追缴税款
欠税公告
  根据《中华人民共和国税收征收管理法》第四十五条及《国家税务总局欠税公告办法》的规定,对经税务机关限期缴纳,逾期仍未缴纳税款的纳税人,予以公告追缴。下列纳税人自本公告发布之日起10日内,到主管地方税务机关缴纳税款、滞纳金或提供纳税担保,逾期不缴纳的,将记入纳税不诚信名单,并依法阻止其法定代表人出境,采取冻结、扣缴存款,扣押、查封、依法拍卖或变卖财产等税收保全或强制措施,或者依法移送司法机关追缴税款;构成犯罪的,依法追究刑事责任。

  海南省国家税务局 海南省地方税务局

  2017年7月12日

上一篇    下一篇
   第001版:头版
   第002版:海南新闻时政
   第003版:海南新闻综合
   第004版:深读时政观察
   第005版:真抓实干见成效·海南经验
   第006版:海南新闻综合
   第007版:专题
   第008版:评论
   第009版:中国新闻
   第010版:中国新闻社会
   第011版:世界新闻动态
   第012版:海南新闻民生/社会
   第013版:海南新闻民生/社会
   第014版:文体新闻综合
   第015版:教育周刊
   第016版:教育周刊
海南省国家税务局和海南省地方税务局