海南日报报业集团旗下媒体: 海南日报 | 南国都市报 | 南海网 | 南岛晚报 | 证券导报 | 法制时报 返回报网首页 |   版面导航
2016年09月20日 星期二      报料热线:966123
当前版: 012版 上一版   下一版 上一期   下一期 往期
上一篇    下一篇
放大 缩小 默认   
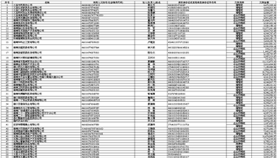
海南省国家税务局欠税公告
2016年第3期
  根据《中华人民共和国税收征收管理法》第四十五条第三款、《中华人民共和国税收征收管理法实施细则》第七十六条的规定以及《欠税公告办法(试行)》(国家税务总局令第9号),截至2016年8月31日,下列企业未按照规定的期限缴纳税款,现予以公告。税务机关除依法予以公告外,还将依法催缴并按日计算滞纳金,直至采取税收保全、税收强制执行措施清缴欠税。

  企业欠税清册

上一篇    下一篇
   第001版:头版
   第002版:海南新闻时政
   第003版:琼崖儿女长征路纪念红军长征胜利80周年特别报道
   第004版:海南新闻综合
   第005版:评论
   第006版:深读科学观察
   第007版:三沙新闻
   第008版:产经新闻
   第009版:舌尖上的海南——关注2016海南美食文化节·临高美食
   第010版:海南新闻民生
   第011版:海南新闻社会
   第012版:体育新闻综合
   第013版:中国新闻
   第014版:中国新闻社会
   第015版:世界新闻时政
   第016版:世界新闻视点
   第017版:娱乐新闻综合
   第018版:教育周刊
   第019版:教育周刊
   第020版:汽车周刊
2016年里约残奥会闭幕
参加观澜湖步行马拉松 和明星进行互动
省全民健身运动会 四项比赛本周陆续开赛
奏响挑战命运的最强音
海南省国家税务局欠税公告