海南日报报业集团旗下媒体: 海南日报 |南国都市报 |南海网 |南岛晚报 |证券导报 |法制时报 |海南农垦报 返回首页
2022年05月12日 星期四  报料热线:966123
当前版: 009版 上一版 下一版 上一期 下一期
上一篇    下一篇
放大 缩小 默认   
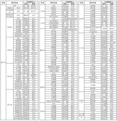
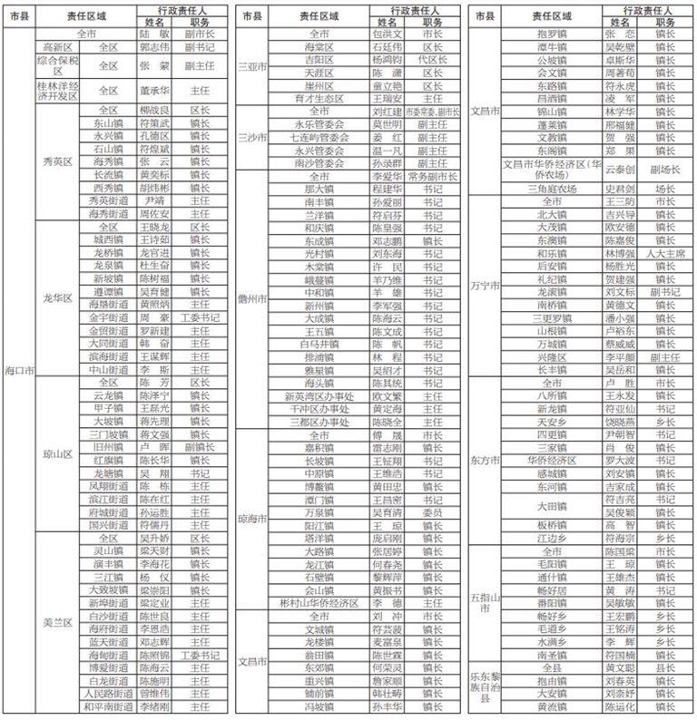
海南省各市、县(区)、乡镇(街道)防汛防风防旱行政责任人名单

上一篇    下一篇
   第001版:头版
   第002版:要闻
   第003版:要闻
   第004版:要闻
   第005版:深入学习贯彻省第八次党代会精神
   第006版:本省新闻综合
   第007版:本省新闻综合
   第008版:民生新闻
   第009版:观点
   第010版:深读·人物
   第011版:中国新闻综合
   第012版:中国新闻综合
   第013版:世界新闻综合
   第014版:文旅周刊
   第015版:广告
   第016版:世界新闻综合
海南省各市、县(区)、乡镇(街道)防汛防风防旱行政责任人名单
让“山寨证书”无处藏身
技能赋能让职业变产业
莫让“超长期预售”蚕食消费者权益
给“打赏”划上红线