海南日报报业集团旗下媒体: 海南日报 |南国都市报 |南海网 |南岛晚报 |证券导报 |法制时报 |海南农垦报 返回首页
2022年09月21日 星期三  报料热线:966123
当前版: 020版 上一版 下一版 上一期 下一期
上一篇    下一篇
放大 缩小 默认   
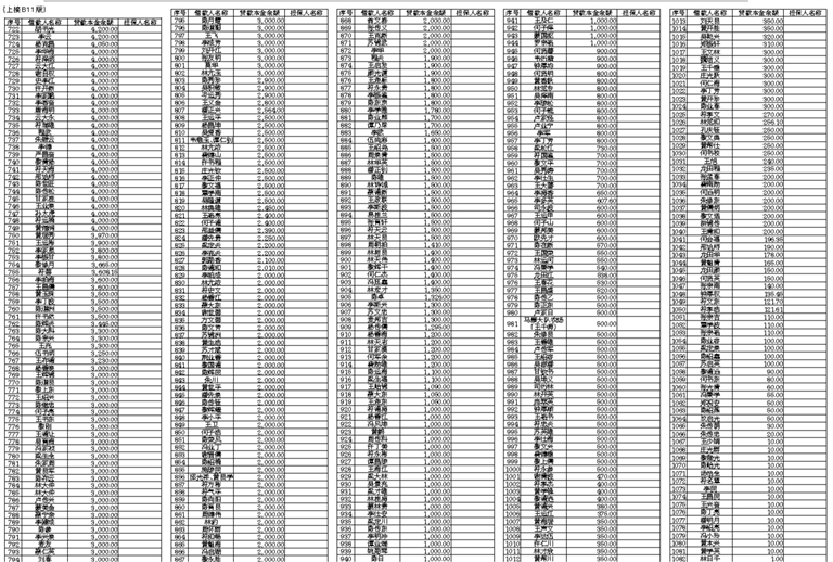
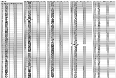
中国农业银行股份有限公司定安县支行、琼中县支行、屯昌县支行、琼海市支行债权联合催收公告

上一篇    下一篇
   第001版:头版
   第002版:本省新闻综合
   第003版:高效统筹常态化疫情防控和经济社会发展
   第004版:深读·海南
   第005版:本省新闻综合
   第006版:观点
   第007版:中国新闻综合
   第008版:教育周刊
   第009版:广告
   第010版:广告
   第011版:广告
   第012版:广告
   第013版:广告
   第014版:广告
   第015版:广告
   第016版:广告
   第017版:广告
   第018版:广告
   第019版:广告
   第020版:广告
关于G98环岛高速K4+900至K6+650段匝道拼接施工实施交通管制的通告
房产招租公告
项目履约保证金退还申请催报公告
海口市金牛岭片区B-5-02地块项目变更方案规划公示启事
中国信达资产管理股份有限公司海南分公司资产处置公告
三亚崖州湾海洋运动休闲公园项目海域使用权挂牌出让公告
陵水黎族自治县行政审批服务局海域使用权挂牌出让公告
中国农业银行股份有限公司定安县支行、琼中县支行、屯昌县支行、琼海市支行债权联合催收公告