海南日报报业集团旗下媒体: 海南日报 | 南国都市报 | 南海网 | 南岛晚报 | 证券导报 | 法制时报 返回报网首页 | 版面导航
2017年07月14日 星期五      报料热线:966123
当前版: 011版 上一版 下一版 上一期 下一期
上一篇    下一篇
放大 缩小 默认   
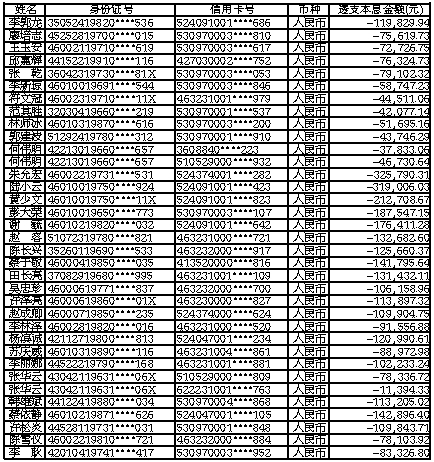
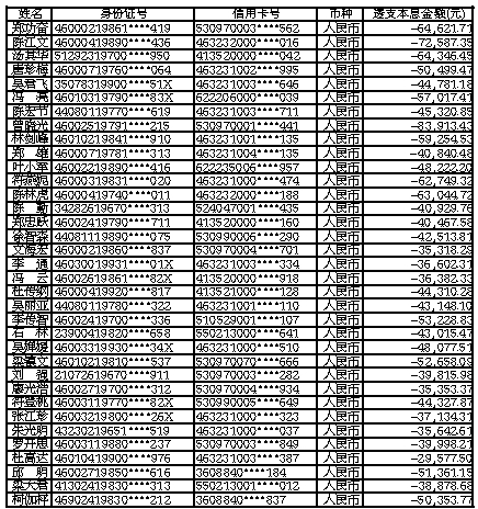
信用卡透支催收公告
  截止2017年6月30日,下列信用卡持卡人未能按照信用卡章程向我行履行还款义务,为维护我行合法权益,现予以公告催收。请持卡人自公告之日起七日内向我行清偿所欠透支款项,或到我行商谈还款事宜,否则,我行将通过法律途径予以解决。咨询电话:0898-68513885。特此公告。

  中国工商银行股份有限公司海口国贸支行

  2017年7月13日

上一篇    下一篇
   第001版:头版
   第002版:海南新闻时政
   第003版:脱贫攻坚进行时
   第004版:海南新闻综合
   第005版:真抓实干见成效·海南经验
   第006版:海南新闻综合
   第007版:潮起西岸
   第008版:澄迈新发展
   第009版:中国新闻
   第010版:中国/世界新闻社会
   第011版:世界新闻综合
   第012版:海南新闻社会/民生
   第013版:汽车周刊
   第014版:房产周刊
   第015版:体育新闻综合
   第016版:文娱新闻综合
信用卡透支催收公告
巴西前总统卢拉被判刑九年半
美私企公布探月路线图
天文学家发现 已知体积最小恒星
澳科学家 培育出超级香蕉
闲置土地调查通知书
公告