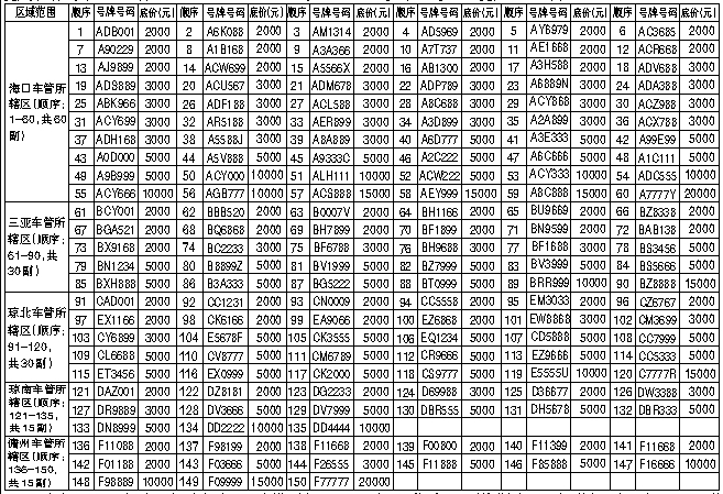
二、发放时间:2016年9月28日,上午8时30分起接受现场报名,9时30分起发放竞优号码。三、发放地点:揽海大酒店(海口市海甸岛碧海大道88号,世纪大桥左侧)。四、竞优方式:公开叫价,价高者得。五、叫价单位:2000元至10000元底价的每次叫价500元为1个叫价单位,10000元以上底价的每次叫价以1000元为1个叫价单位,也可以是叫价单位的整数倍。六、竞优者资格:(一)发放的竞优机动车号牌仅限于九二式未编发的小型汽车号牌,竞优对象限于个人和民营企业及外商独资企业,并只限于发放未注册登记、转移或变更登记转入的9座(含)以下和车长小于6米的小型载客汽车,已注册登记有号牌的不得参与竞优。(二)报名者提供以下资料原件(核对无误后退还)和复印件(须报名者签名盖章并签注“与原件相符”字样)。1、属单位的提供有效的《组织机构代码证书》和《企业法人营业执照》;2、本省居民的提供本地《居民身份证》,在暂住地居住的外省居民提交《居民身份证》和公安机关核发的有效居住、暂住证明;3、现役军人(含武警)提供《居民身份证》、《军官证》等有效军人身份证明和团级以上单位出具本人住所地址证明;4、香港和澳门特别行政区、台湾地区居民提供入境的身份证明和公安机关核发的居住、暂住证明;5、非本人报名的还应提供授权委托书及委托代理人身份证明。(三) 竞优者以报名的身份证明按属地车管所管辖原则,只能竞优属地车管所管理的小汽车号牌,不得优选其他车管所管理的小汽车号牌,否则优选无效,所缴交成交款不予退还。对琼C字头小汽车号牌,琼北辖区各市县可互竞优选;对琼D字头小汽车号牌,琼南辖区各市县可互竞优选。七、报名及应价牌的发放:(一) 竞优者可采取预报名或现场报名方式。从本通告刊报之日起至牌号发放前,预报名者可携带上述有关报名资料到海南银达国际拍卖有限公司(地址:海口市滨海大道115号海垦国际金融中心6层)预报名,符合条件及资料齐备的,缴交5000元竞优保证金(现金),海南银达国际拍卖有限公司出具《预报名回执》和竞优保证金收据,预报名者凭《预报名回执》和竞优保证金收据及身份证明原件,于牌号发放日现场报名点换取应价牌入场。现场报名者可于牌号发放日公开竞优选前,携带上述有关报名资料到现场报名点报名。符合条件的,缴交5000元竞优保证金(现金),海南银达国际拍卖有限公司开具竞优保证金收据,报名者凭竞优保证金收据、身份证明及相关报名资料领取应价牌入场。(二)每位领取应价牌的竞优者,只能携带一人进入竞优现场参与叫价。八、缴款方式:竞优成交者须在现场以有银联标识的银行卡(信用卡必须为持卡本人)划账方式缴纳成交价款(不收取现金),由发放人和竞得人当场签订《成交确认书》,领取号牌领导小组办公室开具的《海南省非税收入一般缴款书》,领取退还竞优保证金的同时向海南银达国际拍卖有限公司缴纳竞得佣金。在公开竞优会结束前仍未缴纳成交价款的,组织者收回其号牌重新发放,竞优保证金不予退还,并按《拍卖法》追究当事人法律责任。九、号牌编发办理:成交者凭《成交确认书》、缴款凭证和车辆登记规定资料,自竞得之日起7个工作日(不包括节假日)后申办号牌编发手续,所有竞得号牌必须在30天内办完上牌手续,逾期不办理上牌手续的,由组织者收回号牌号码,成交价款不予退还。十、其他事项:(一)在国家对机动车号牌政策有变化的情况下,已竞得号牌的竞得人未能在30天内办理号牌编发手续造成无法编发号牌号码的,已缴纳的价款不予退还。在30天内办理号牌编发手续未能编发所竞得号牌号码的,缴纳价款予以退还。(二)已竞得号牌号码办理号牌编发手续的小汽车因国家政策变化不能继续使用原号牌号码的,或小汽车因交通事故、火灾、灭失等情况报废注销而机动车所有人不符合继续使用原号牌号码的,其竞得的号牌自动失效。(三)竞得号牌以《成交确认书》登记的姓名或单位名称审核机动车所有人办理号牌编发手续,竞得号牌只许本人使用,不得转让,不得赠送,不得转挂。(四)所竞得的号牌号码符合公安部2007年《服务群众十六项措施》第八项和海南省公安厅交通警察总队《贯彻落实公安部〈服务群众十六项措施〉实施意见》第八项及公安部124号令第五十二条规定的,可继续使用。(五)对竞拍买受人存在故意扰乱竞拍工作秩序,或其他违反《中华人民共和国治安管理处罚法》、《中华人民共和国拍卖法》等法律法规的行为,经查实的,不得继续参加当场竞拍活动,并依法追究相关责任。
公司地址:海口市滨海大道115号海垦国际金融中心6层
联系电话:0898-66736721 66736719 18976476929


